lollipop--gurlpdf
Menu
Home
Mobile
About
Home
November 2022
November 2022
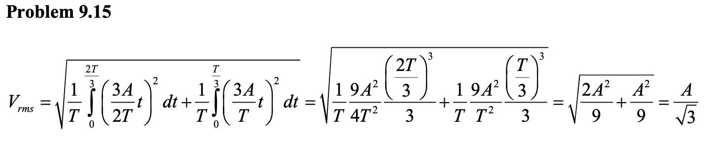
one solution rms
November 30, 2022
OneSolution Nationwide Manufacturers' Representation . We provide solutions to these challenges and drive overall performance by w...
Subscribe to:
Comments (Atom)
Popular Posts
audi dashboard warning symbols
Audi Warning Lights and Symbols DashboardSymbols.com . Web The following are warning lights and indicators found in vehicles built by...
Recent Posts
Search This Blog
Powered by
Blogger
.
Blog Archive
January 2023
(7)
December 2022
(21)
November 2022
(1)
Labels
18001860
attaque
audi
bakemonogatari
chimie
crisis
dashboard
during
edition
fanta
french
genius
letters
maigret
manga
mind
negro
organique
outcast
paperback
reflected
symbols
titans
univer
unmasked
volume
warning
zwicky
Report Abuse
Home
About Me
bizarreutility7
View my complete profile